



本文利用史密斯圆图作为RF阻抗匹配的设计指南。文中给出了反射系数、阻抗和导纳的作图范例,并用作图法设计了一个频率为60MHz的匹配网络。
实践证明:史密斯圆图仍然是计算传输线阻抗的基本工具。
在处理RF系统的实际应用问题时,总会遇到一些非常困难的工作,对各部分级联电路的不同阻抗进行匹配就是其中之一。一般情况下,需要进行匹配的电路包括天线与低噪声放大器(LNA)之间的匹配、功率放大器输出(RFOUT)与天线之间的匹配、LNA/VCO输出与混频器输入之间的匹配。匹配的目的是为了保证信号或能量有效地从“信号源”传送到“负载”。
在高频端,寄生元件(比如连线上的电感、板层之间的电容和导体的电阻)对匹配网络具有明显的、不可预知的影响。频率在数十兆赫兹以上时,理论计算和仿真已经远远不能满足要求,为了得到适当的最终结果,还必须考虑在实验室中进行的RF测试、并进行适当调谐。需要用计算值确定电路的结构类型和相应的目标元件值。
有很多种阻抗匹配的方法,包括:
· 计算机仿真: 由于这类软件是为不同功能设计的而不只是用于阻抗匹配,所以使用起来比较复杂。设计者必须熟悉用正确的格式输入众多的数据。设计人员还需要具有从大量的输出结果中找到有用数据的技能。另外,除非计算机是专门为这个用途制造的,否则电路仿真软件不可能预装在计算机上。
· 手工计算: 这是一种极其繁琐的方法,因为需要用到较长(“几公里”)的计算公式、并且被处理的数据多为复数。
· 经验: 只有在RF领域工作过多年的人才能使用这种方法。总之,它只适合于资深的专家。
· 史密斯圆图: 本文要重点讨论的内容。
本文的主要目的是复习史密斯圆图的结构和背景知识,并且总结它在实际中的应用方法。讨论的主题包括参数的实际范例,比如找出匹配网络元件的数值。当然,史密斯圆图不仅能够为我们找出最大功率传输的匹配网络,还能帮助设计者优化噪声系数,确定品质因数的影响以及进行稳定性分析。

图1. 阻抗和史密斯圆图基础
基础知识
在介绍史密斯圆图的使用之前,最好回顾一下RF环境下(大于100MHz) IC连线的电磁波传播现象。这对RS-485传输线、PA和天线之间的连接、LNA和下变频器/混频器之间的连接等应用都是有效的。
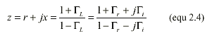
大家都知道,要使信号源传送到负载的功率最大,信号源阻抗必须等于负载的共轭阻抗,即:

在这个条件下,从信号源到负载传输的能量最大。另外,为有效传输功率,满足这个条件可以避免能量从负载反射到信号源,尤其是在诸如视频传输、RF或微波网络的高频应用环境更是如此。
史密斯圆图
史密斯圆图是由很多圆周交织在一起的一个图。正确的使用它,可以在不作任何计算的前提下得到一个表面上看非常复杂的系统的匹配阻抗,唯一需要作的就是沿着圆周线读取并跟踪数据。
史密斯圆图是反射系数(伽马,以符号表示)的极座标图。反射系数也可以从数学上定义为单端口散射参数,即s11。
史密斯圆图是通过验证阻抗匹配的负载产生的。这里我们不直接考虑阻抗,而是用反射系数L,反射系数可以反映负载的特性(如导纳、增益、跨导),在处理RF频率的问题时,L更加有用。
我们知道反射系数定义为反射波电压与入射波电压之比:


由于阻抗是复数,反射系数也是复数。
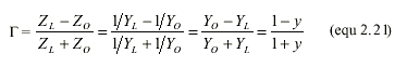
为了减少未知参数的数量,可以固化一个经常出现并且在应用中经常使用的参数。这里Zo (特性阻抗)通常为常数并且是实数,是常用的归一化标准值,如50、75、100和600。于是我们可以定义归一化的负载阻抗:


从上式我们可以看到负载阻抗与其反射系数间的直接关系。但是这个关系式是一个复数,所以并不实用。我们可以把史密斯圆图当作上述方程的图形表示。
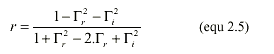
为了建立圆图,方程必需重新整理以符合标准几何图形的形式(如圆或射线)。
首先,由方程2.3求解出;





圆周上的点表示具有相同实部的阻抗。例如,R=1的圆,以(0.5, 0)为圆心,半径为0.5。它包含了代表反射零点的原点(0, 0) (负载与特性阻抗相匹配)。以(0,0)为圆心、半径为1的圆代表负载短路。负载开路时,圆退化为一个点(以1,0为圆心,半径为零)。与此对应的是最大的反射系数1,即所有的入射波都被反射回来。
在作史密斯圆图时,有一些需要注意的问题。下面是最重要的几个方面:
· 所有的圆周只有一个相同的,唯一的交点(1, 0)。
· 代表0、也就是没有电阻(r = 0)的圆是最大的圆。
· 无限大的电阻对应的圆退化为一个点(1, 0)
· 实际中没有负的电阻,如果出现负阻值,有可能产生振荡。
· 选择一个对应于新电阻值的圆周就等于选择了一个新的电阻。
作图
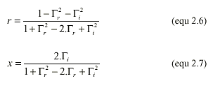
经过等式2.15至2.18的变换,2.7式可以推导出另一个参数方程,方程2.19。

同样,2.19也是在复平面(r, i)上的圆的参数方程(x-a)2 + (y-b)2 = R2,它的圆心为(1, 1/x),半径1/x。
更多细节参见图4b。

圆周上的点表示具有相同虚部x的阻抗。例如,x=1的圆以(1, 1)为圆心,半径为1。所有的圆(x为常数)都包括点(1, 0)。与实部圆周不同的是,x既可以是正数也可以是负数。这说明复平面下半部是其上半部的镜像。所有圆的圆心都在一条经过横轴上1点的垂直线上。
完成圆图
为了完成史密斯圆图,我们将两簇圆周放在一起。可以发现一簇圆周的所有圆会与另一簇圆周的所有圆相交。若已知阻抗为r + jx,只需要找到对应于r和x的两个圆周的交点就可以得到相应的反射系数。
可互换性
上述过程是可逆的,如果已知反射系数,可以找到两个圆周的交点从而读取相应的r和x的值。过程如下:
· 确定阻抗在史密斯圆图上的对应点
· 找到与此阻抗对应的反射系数 ()
· 已知特性阻抗和,找出阻抗
· 将阻抗转换为导纳
· 找出等效的阻抗
· 找出与反射系数对应的元件值(尤其是匹配网络的元件,见图7)
推论
因为史密斯圆图是一种基于图形的解法,所得结果的精确度直接依赖于图形的精度。下面是一个用史密斯圆图表示的RF应用实例:
例: 已知特性阻抗为50,负载阻抗如下:
z1=100+j50Ω z2-75-j100Ω
z3=j200Ω z4=150Ω
z5=∞(开路) z6=0(短路)
z7=50Ω z8=184-j900Ω
对上面的值进行归一化并标示在圆图中(见图5):
z1=2+j z2=1.5-j2
z3=j4 z4=3
z5=8 z6=0
z7=1 z8=3.68-j18S

现在可以通过图5的圆图直接解出反射系数。画出阻抗点(等阻抗圆和等电抗圆的交点),只要读出它们在直角坐标水平轴和垂直轴上的投影,就得到了反射系数的实部r和虚部i (见图6)。
该范例中可能存在八种情况,在图6所示史密斯圆图上可以直接得到对应的反射系数:
r1=0.4+0.2j r2=0.51-0.4j
r3=0.875+0.48j r4=0.5
r5=1 r6=-1 r7=0 r8=0.96-0.1j

用导纳表示
史密斯圆图是用阻抗(电阻和电抗)建立的。一旦作出了史密斯圆图,就可以用它分析串联和并联情况下的参数。可以添加新的串联元件,确定新增元件的影响只需沿着圆周移动到它们相应的数值即可。然而,增加并联元件时分析过程就不是这么简单了,需要考虑其它的参数。通常,利用导纳更容易处理并联元件。
我们知道,根据定义Y = 1/Z,Z = 1/Y。导纳的单位是姆欧或者-1 (早些时候导纳的单位是西门子或S)。并且,如果Z是复数,则Y也一定是复数。
所以Y = G + jB (2.20),其中G叫作元件的“电导”,B称“电纳”。在演算的时候应该小心谨慎,按照似乎合乎逻辑的假设,可以得出:G = 1/R及B = 1/X,然而实际情况并非如此,这样计算会导致结果错误。
用导纳表示时,第一件要做的事是归一化, y = Y/Yo,得出 y = g + jb。但是如何计算反射系数呢?通过下面的式子进行推导:

结果是G的表达式符号与z相反,并有(y) = -(z).
如果知道z,就能通过将的符号取反找到一个与(0,0)的距离相等但在反方向的点。围绕原点旋转180°可以得到同样的结果。(见图7).

当然,表面上看新的点好像是一个不同的阻抗,实际上Z和1/Z表示的是同一个元件。(在史密斯圆图上,不同的值对应不同的点并具有不同的反射系数,依次类推)出现这种情况的原因是我们的图形本身是一个阻抗图,而新的点代表的是一个导纳。因此在圆图上读出的数值单位是姆欧。
尽管用这种方法就可以进行转换,但是在解决很多并联元件电路的问题时仍不适用。
本文参考52RD.com2005年8月9日 我爱研发网 Maxim的原作编撰