


接上文
导纳圆图
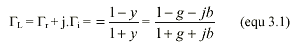
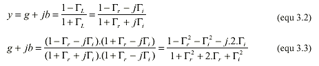
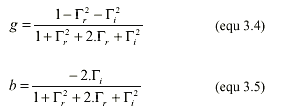
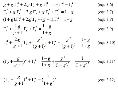
在前面的讨论中,我们看到阻抗圆图上的每一个点都可以通过以复平面原点为中心旋转180°后得到与之对应的导纳点。于是,将整个阻抗圆图旋转180°就得到了导纳圆图。这种方法十分方便,它使我们不用建立一个新图。所有圆周的交点(等电导圆和等电纳圆)自然出现在点(-1, 0)。使用导纳圆图,使得添加并联元件变得很容易。在数学上,导纳圆图由下面的公式构造:




它也是复平面 (r, i)上圆的参数方程(x-a)2 + (y-b)2 = R2 (方程3.12),以(-g/g+1, 0)为圆心,半径为1/(1+g)。
从等式3.5,我们可以推导出下面的式子:

同样得到(x-a)2 + (y-b)2 = R2型的参数方程(方程3.17)。
求解等效阻抗
当解决同时存在串联和并联元件的混合电路时,可以使用同一个史密斯圆图,在需要进行从z到y或从y到z的转换时将图形旋转。
考虑图8所示网络(其中的元件以Zo=50进行了归一化)。串联电抗(x)对电感元件而言为正数,对电容元件而言为负数。而电纳(b)对电容元件而言为正数,对电感元件而言为负数。



逐步进行阻抗匹配
史密斯圆图的另一个用处是进行阻抗匹配。这和找出一个已知网络的等效阻抗是相反的过程。此时,两端(通常是信号源和负载)阻抗是固定的,如图12所示。我们的目标是在两者之间插入一个设计好的网络已达到合适的阻抗匹配。
图11. 阻抗已知而元件未知的典型电路
初看起来好像并不比找到等效阻抗复杂。但是问题在于有无限种元件的组合都可以使匹配网络具有类似的效果,而且还需考虑其它因素(比如滤波器的结构类型、品质因数和有限的可选元件)。
实现这一目标的方法是在史密斯圆图上不断增加串联和并联元件、直到得到我们想要的阻抗。从图形上看,就是找到一条途径来连接史密斯圆图上的点。同样,说明这种方法的最好办法是给出一个实例。
我们的目标是在60MHz工作频率下匹配源阻抗(ZS)和负载阻抗(ZL) (见图12)。网络结构已经确定为低通,L型(也可以把问题看作是如何使负载转变成数值等于ZS的阻抗,即ZS复共轭)。下面是解的过程:

要做的第一件事是将各阻抗值归一化。如果没有给出特性阻抗,选择一个与负载/信号源的数值在同一量级的阻抗值。假设 Zo为50Ω。于是 zS = 0.5 -j0.3, z*S = 0.5 + j0.3, ZL = 2 -j0.5。
下一步,在图上标出这两个点,A代表zL,D代表Z*S
然后判别与负载连接的第一个元件(并联电容),先把zL转化为导纳,得到点A'。
确定连接电容C后下一个点出现在圆弧上的位置。由于不知道C的值,所以我们不知道具体的位置,然而我们确实知道移动的方向。并联的电容应该在导纳圆图上沿顺时针方向移动、直到找到对应的数值,得到点B (导纳)。下一个元件是串联元件,所以必需把B转换到阻抗平面上去,得到B''''''''。
B''''''''必需和D位于同一个电阻圆上。从图形上看,从A''''''''到D只有一条路径,但是如果要经过中间的B点(也就是B''''''''),就需要经过多次的尝试和检验。在找到点B和B''''''''后,我们就能够测量A''''''''到B和B''''''''到D的弧长,前者就是C的归一化电纳值,后者为L的归一化电抗值。A''''''''到B的弧长为b = 0.78,则B = 0.78 x Yo = 0.0156姆欧。因为C = B,所以 C = B/ω= B/(2 πf) = 0.0156/(2 π607) = 41.4pF。B到D的弧长为 x = 1.2,于是 X = 1.2 × Zo = 60Ω.由L = X, 得 L = X/ω = X/(2 πf) = 60/(2 π607) = 159nH。
总结
在拥有功能强大的软件和高速、高性能计算机的今天,人们会怀疑在解决电路基本问题的时候是否还需要这样一种基础和初级的方法。
实际上,一个真正的工程师不仅应该拥有理论知识,更应该具有利用各种资源解决问题的能力。在程序中加入几个数字然后得出结果的确是件容易的事情,当问题的解十分复杂、并且不唯一时,让计算机作这样的工作尤其方便。然而,如果能够理解计算机的工作平台所使用的基本理论和原理,知道它们的由来,这样的工程师或设计者就能够成为更加全面和值得信赖的专家,得到的结果也更加可靠。
本文参考52RD.com2005年8月9日 我爱研发网 Maxim的原作编撰